Expand/collapse navigation
Parish Council
News & Alerts
Useful Numbers
Accessibility
Policy & Procedures
Village Hall
Agendas & Minutes
PC Agenda 25-26
PC Agenda 24-25
PC Minutes 25-26
PC Minutes 24-25
PC Agendas 23-24
PC Minutes 23-24
PC Agendas 22-23
PC Minutes 22-23
PC Minutes 21-22
PC Agendas 21-22
PC Agendas 20-21
PC Minutes 20-21
PC Agendas 19-20
PC Minutes 19-20
PC Agendas 18-19
PC Minutes 18-19
Council Members
PC Info
Biogs
Planning
Neighbourhood Plan
NDP
Consultation
Scoping Research
Reg 14 Response Form
Independent Examiner
Wiltshire Council Decision
HNS
HRA Letter
HRA Report
SEA
Finances
Audit - Notice of Public Rights
Accounts
Annual Governance
Internal Audit
Expenditure Items
External Audit
Notes
Precept
Asset Register
Contact Us
Local Groups
Local Information
Military History
Queen Elizabeth II
History
Useful Links
PUBLIC NOTICES
North Wessex Downs AONB
NWD AONB TEXT
Chirton & Conock Maps
Defibrillator
Services
Waste & Recycling
Policing
Events
Parish Council
Local Information
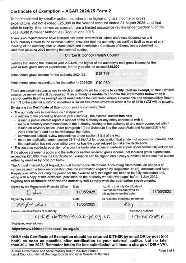
Chirton & Conock Parish Council Accounts
Accounting Statements 20/21
Explanation of Variances
News & Alerts
Useful Numbers
Accessibility
Policy & Procedures
Village Hall
Agendas & Minutes
Council Members
Planning
Neighbourhood Plan
Finances
Audit - Notice of Public Rights
Accounts
Annual Governance
Internal Audit
Expenditure Items
External Audit
Notes
Precept
Asset Register
Contact Us
Local Groups